2022届高中高三数学《各地一模试卷专题汇编·平面解析几何6》word试卷+答案

2022届高中高三数学《各地一模试卷专题汇编·平面解析几何6》word试卷+答案1 2022届高中高三数学《各地一模试卷专题汇编·平面解析几何6》word试卷+答案2 2022届高中高三数学《各地一模试卷专题汇编·平面解析几何6》word试卷+答案3 2022届高中高三数学《各地一模试卷专题汇编·平面解析几何6》word试卷+答案4 2022届高中高三数学《各地一模试卷专题汇编·平面解析几何6》word试卷+答案5 2022届高中高三数学《各地一模试卷专题汇编·平面解析几何6》word试卷+答案6 2022届高中高三数学《各地一模试卷专题汇编·平面解析几何6》word试卷+答案7 2022届高中高三数学《各地一模试卷专题汇编·平面解析几何6》word试卷+答案8 2022届高中高三数学《各地一模试卷专题汇编·平面解析几何6》word试卷+答案9 2022届高中高三数学《各地一模试卷专题汇编·平面解析几何6》word试卷+答案10
试读已结束,还剩32页未读,您可下载完整版后进行离线阅读

文档共有42页,由于篇幅有限,只展示前10页。

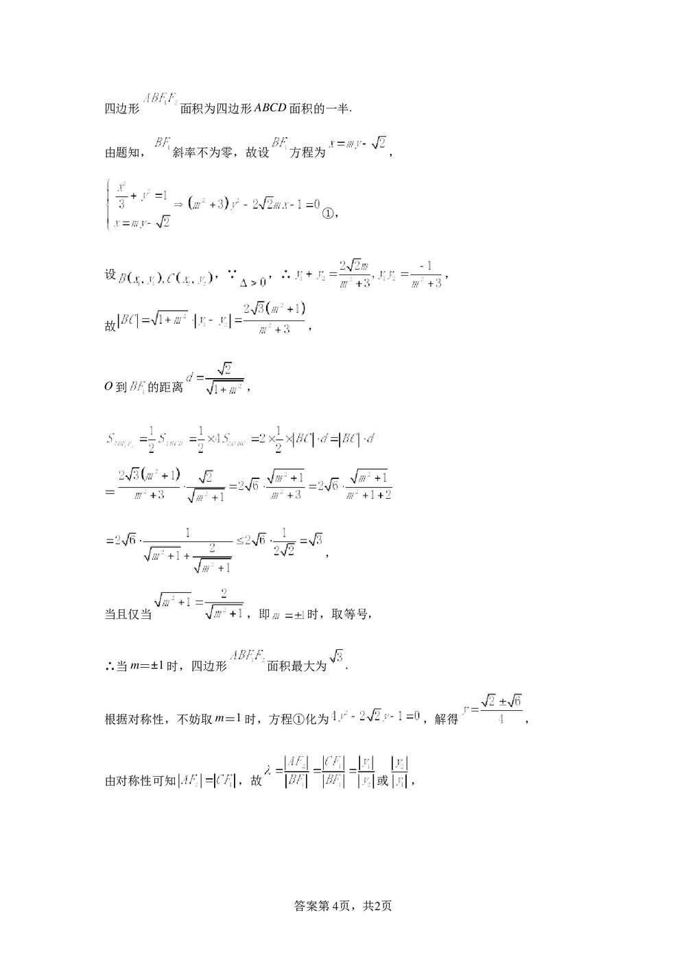
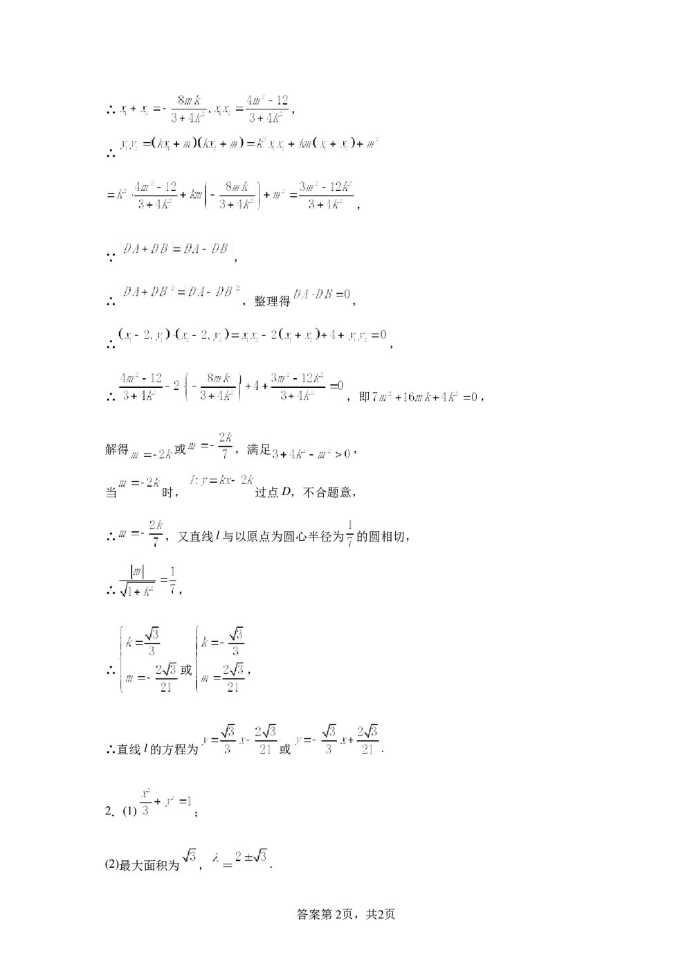
2022届高三各地一模试卷专题汇编——平面解析几何1.设椭圆过,两点,O为坐标原点.(1)求椭圆E的方程;(2)椭圆E的右顶点为D,直线与椭圆E交于A、B两点(A、B不是左右顶点),若其满足,且直线l与以原点为圆心半径为的圆相切,求直线l的方程.2.已知椭圆C:(,)的左、右焦点分别为,,离心率为,直线被C截得的线段长为.(1)求C的方程:(2)若A和B为椭圆C上在x轴同侧的两点,且,求四边形面积的最大值及此时的值.3.已知椭圆:的离心率为,点在椭圆上,抛物线:与椭圆的右焦点重合,直线过抛物线的焦点与椭圆交于,两点,与抛物线交于,两点.(1)求椭圆及抛物线的标准方程;(2)是否存在常数,使得为常数?若存在,求出的值;若不存在,请说明理由.试卷第1页,共3页4.已知椭圆过点,椭圆上的任意一点到焦点距离的最小值...

2022届高中高三数学《各地一模试卷专题汇编·平面解析几何6》word试卷+答案是由用户上传到202资源网,本次作品主题是Word文档,素材大小为1.73 MB,素材总共有42页,素材格式为docx。授权方式为VIP用户下载,成为202资源网VIP用户马上下载此素材。PPT文件完整,下载后可编辑,更多试题试卷主题素材点击进入。

如需印刷成实物请先认真校稿,避免造成不必要的经济损失。

模板单价:5.00 会员免费
开通会员可免费下载任意模板
  • 页数:42页
  • 大小:1.73 MB
  • 编号:19044
  • 类型:VIP模板
  • 格式:docx
  • 提示:数字产品不支持退货