《广东卷》高考数学文科试卷+参考答案

《广东卷》高考数学文科试卷+参考答案1 《广东卷》高考数学文科试卷+参考答案2 《广东卷》高考数学文科试卷+参考答案3 《广东卷》高考数学文科试卷+参考答案4 《广东卷》高考数学文科试卷+参考答案5 《广东卷》高考数学文科试卷+参考答案6 《广东卷》高考数学文科试卷+参考答案7 《广东卷》高考数学文科试卷+参考答案8 《广东卷》高考数学文科试卷+参考答案9
已阅读完毕,您还可以下载文档进行保存

文档共有9页,预览结束!

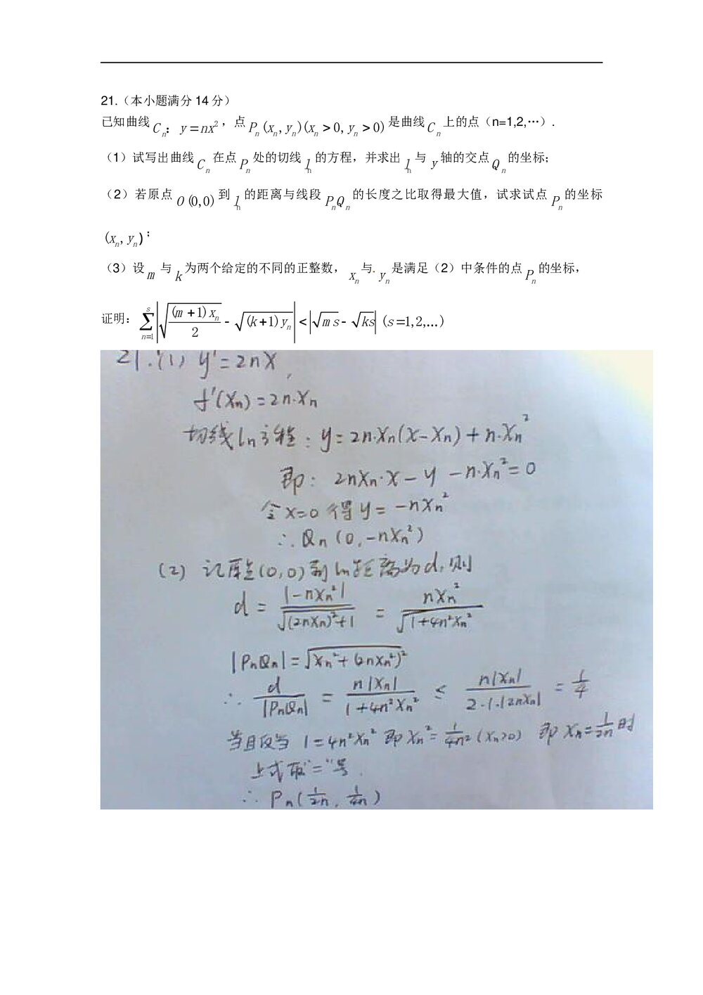
试卷类型:B2010年普通高等学校招生全国统一考试(广东卷)数学(文科)本试卷共4页,21小题,满分150分。考试用时120分钟。注意事项:1.答卷前,考生务必用黑色字迹的钢笔或签字笔将自己的姓名和考生号、试室号、座位号填写在答题卡上。用2B铅笔将试卷类型(B)填涂在答题卡相应位置上。将条形码横贴在答题卡右上角“条形码粘贴处”。2.选择题每小题选出答案后,用2B铅笔把答题卡上对应题目选项的答案信息点涂黑,如需改动,用橡皮擦干净后,再选涂其他答案,答案不能答在试卷上。3.非选择题必须用黑色字迹钢笔或签字笔作答,答案必须写在答题卡各题目指定区域内相应位置上;如需改动,先划掉原来的答案,然后再写上新的答案;不准使用铅笔和涂改液。不按以上要求作答的答案无效。4.作答选做题时。请先用2B铅笔填...

《广东卷》高考数学文科试卷+参考答案是由用户上传到202资源网,本次作品主题是Word文档,素材大小为994.5 KB,素材总共有9页,素材格式为doc。授权方式为VIP用户下载,成为202资源网VIP用户马上下载此素材。PPT文件完整,下载后可编辑,更多试题试卷主题素材点击进入。

如需印刷成实物请先认真校稿,避免造成不必要的经济损失。

模板单价:4.99 会员免费
开通会员可免费下载任意模板
  • 页数:9页
  • 大小:994.5 KB
  • 编号:17600
  • 类型:VIP模板
  • 格式:doc
  • 提示:数字产品不支持退货