浙江省金华高考调研数学试题(理科)+参考答案

浙江省金华高考调研数学试题(理科)+参考答案1 浙江省金华高考调研数学试题(理科)+参考答案2 浙江省金华高考调研数学试题(理科)+参考答案3 浙江省金华高考调研数学试题(理科)+参考答案4 浙江省金华高考调研数学试题(理科)+参考答案5 浙江省金华高考调研数学试题(理科)+参考答案6 浙江省金华高考调研数学试题(理科)+参考答案7 浙江省金华高考调研数学试题(理科)+参考答案8
已阅读完毕,您还可以下载文档进行保存

文档共有8页,预览结束!

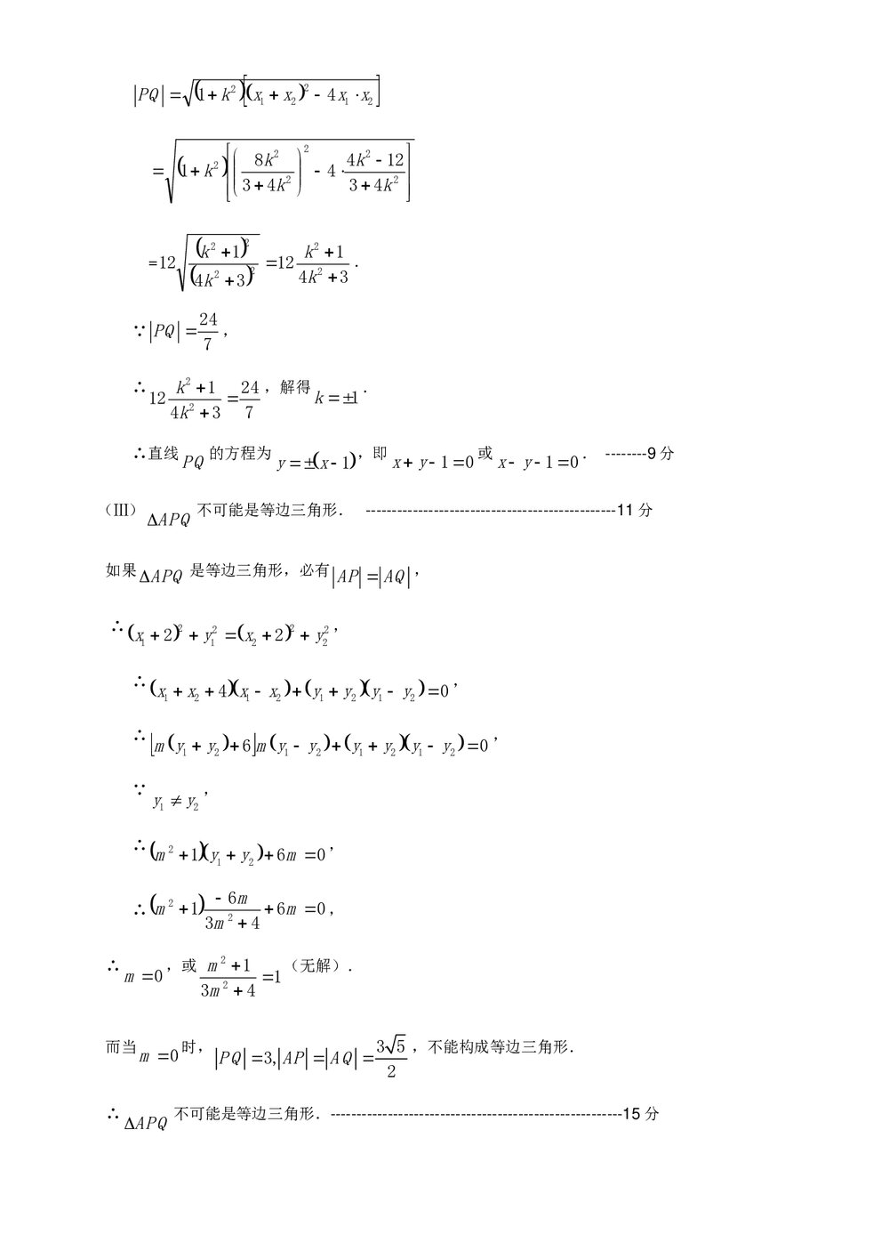
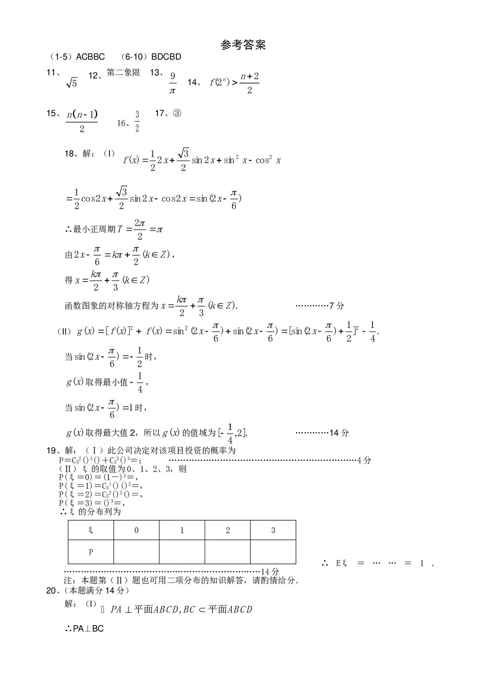
2010年浙江省金华地区高考科目调研测试卷数学试题(理)2010.4本试卷分第I卷(选择题)和第II卷(非选择题)两部分,全卷满分150分,考试时间为120分钟.选择题部分(共50分)一、选择题:本大题共10个小题,每小题5分,共50分.在每小题给出的四个选项中,只有一项是符合题目要求的,把所选项前的字母填在题后括号内.1、已知集合1,0,1,|12MNxx,则下列不属于M、N交集的真子集的是A、{0,1}B、{1}C、{0}D、空集2、若logab有意义,则“log0ab”是“110ab”的A、充分不必要条件B、必要不充分条件C、充要条件D、既不充分也不不要条件3、设函数y=f(x)的图象关于直线x=1对称,在x≤1时,f(x)=(x+1)2-1,则x>1时f(x)等于()A新疆源头学子小屋特级教师王新敞http://www.xjktyg.com/w...

浙江省金华高考调研数学试题(理科)+参考答案是由用户上传到202资源网,本次作品主题是Word文档,素材大小为455 KB,素材总共有8页,素材格式为doc。授权方式为VIP用户下载,成为202资源网VIP用户马上下载此素材。PPT文件完整,下载后可编辑,更多试题试卷主题素材点击进入。

如需印刷成实物请先认真校稿,避免造成不必要的经济损失。

模板单价:4.99 会员免费
开通会员可免费下载任意模板
  • 页数:8页
  • 大小:455 KB
  • 编号:17780
  • 类型:VIP模板
  • 格式:doc
  • 提示:数字产品不支持退货