杭州联合体高考模拟试题数学试题(理科)+参考答案

杭州联合体高考模拟试题数学试题(理科)+参考答案1 杭州联合体高考模拟试题数学试题(理科)+参考答案2 杭州联合体高考模拟试题数学试题(理科)+参考答案3 杭州联合体高考模拟试题数学试题(理科)+参考答案4 杭州联合体高考模拟试题数学试题(理科)+参考答案5 杭州联合体高考模拟试题数学试题(理科)+参考答案6 杭州联合体高考模拟试题数学试题(理科)+参考答案7
已阅读完毕,您还可以下载文档进行保存

文档共有7页,预览结束!

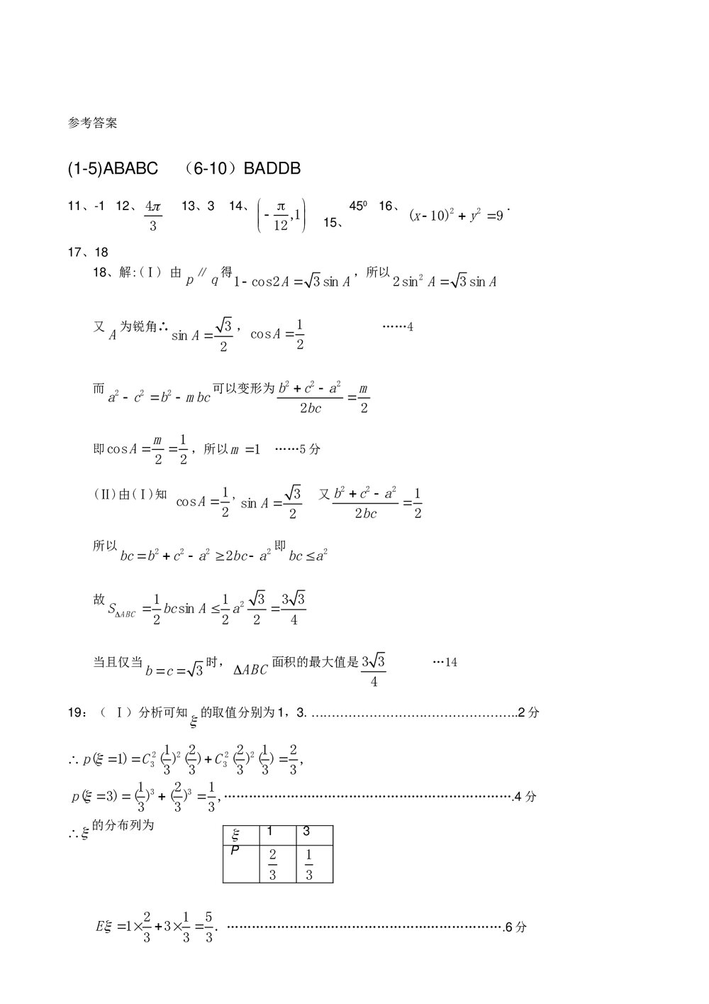
2010年浙江省杭州地区联合体高考模拟测试卷数学试题(理科)2010.4本试卷分第I卷(选择题)和第II卷(非选择题)两部分,全卷满分150分,考试时间为120分钟.选择题部分(共50分)一、选择题:本大题共10个小题,每小题5分,共50分.在每小题给出的四个选项中,只有一项是符合题目要求的,把所选项前的字母填在题后括号内.1.已知集合221,,20RAyyxxBxxx,则下列正确的是()A.1,AByyB.2AByyC.21AByyD.21AByyy或2、若2:(1)30,:2pxxxqx,则p是q的()A.充分而不必要条件B.必要而不充分条件C.充要条件D.既不充分也不必要条件3、若函数)cos()(xxf22是奇函数,且在),(40上是增函数,则实数可能是()(A)2(B)0(C)...

杭州联合体高考模拟试题数学试题(理科)+参考答案是由用户上传到202资源网,本次作品主题是Word文档,素材大小为243 KB,素材总共有7页,素材格式为doc。授权方式为VIP用户下载,成为202资源网VIP用户马上下载此素材。PPT文件完整,下载后可编辑,更多试题试卷主题素材点击进入。

如需印刷成实物请先认真校稿,避免造成不必要的经济损失。

模板单价:4.99 会员免费
开通会员可免费下载任意模板
  • 页数:7页
  • 大小:243 KB
  • 编号:17776
  • 类型:VIP模板
  • 格式:doc
  • 提示:数字产品不支持退货