徐州市高三第三次调研考试数学试题word版

徐州市高三第三次调研考试数学试题word版1 徐州市高三第三次调研考试数学试题word版2 徐州市高三第三次调研考试数学试题word版3 徐州市高三第三次调研考试数学试题word版4 徐州市高三第三次调研考试数学试题word版5 徐州市高三第三次调研考试数学试题word版6 徐州市高三第三次调研考试数学试题word版7 徐州市高三第三次调研考试数学试题word版8 徐州市高三第三次调研考试数学试题word版9 徐州市高三第三次调研考试数学试题word版10
试读已结束,还剩2页未读,您可下载完整版后进行离线阅读

文档共有12页,由于篇幅有限,只展示前10页。

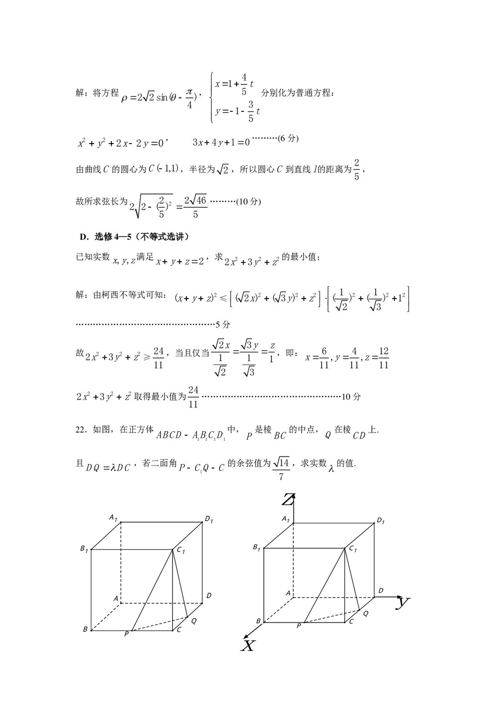
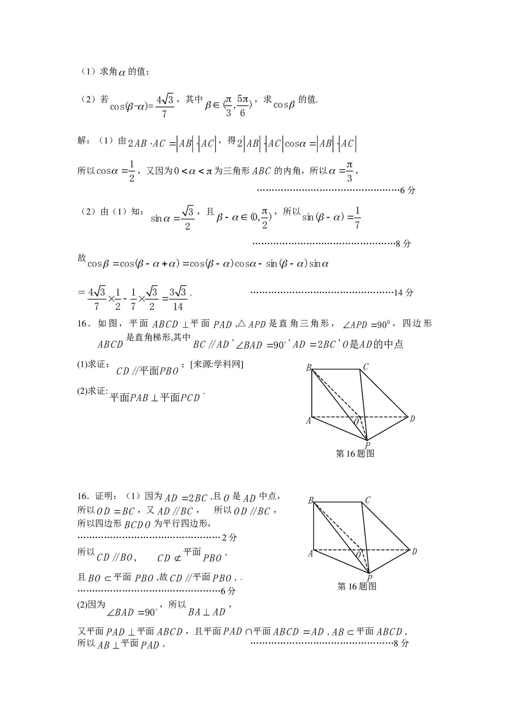
徐州市2009-2010学年度高三年级第三次调研考试数学试题正题部分(总分160分,考试时间120分钟)一、填空题:本大题共14小题,每小题5分,计70分.不需写出解答过程,请把答案写在答题纸的指定位置上.1.若复数21(1)izaa(i为虚数单位)为纯虚数,则实数a.12.已知函数52yx的定义域为集合P,N为自然数集,则集合PN中元素的个数为.33.若函数()sin()(0,0)fxAxA的部分图象如图所示,则的值为 .44.在矩形ABCD中,2AB,3BC,以BC边所在直线为轴旋转一周,则形成的几何体的侧面积为      .125.已知向量(sin,cos),(1,2)xxab,且//ab,则tanx     .126.已知变量,xy满足236yxxyyx≤≥≥,则2zxy的最大值是     .97.下面是一个算法的程序框...

徐州市高三第三次调研考试数学试题word版是由用户上传到202资源网,本次作品主题是Word文档,素材大小为692 KB,素材总共有12页,素材格式为doc。授权方式为VIP用户下载,成为202资源网VIP用户马上下载此素材。PPT文件完整,下载后可编辑,更多试题试卷主题素材点击进入。

如需印刷成实物请先认真校稿,避免造成不必要的经济损失。

模板单价:4.99 会员免费
开通会员可免费下载任意模板
  • 页数:12页
  • 大小:692 KB
  • 编号:17731
  • 类型:VIP模板
  • 格式:doc
  • 提示:数字产品不支持退货