北京市宣武区高三一模(数学理科)+参考答案

北京市宣武区高三一模(数学理科)+参考答案1 北京市宣武区高三一模(数学理科)+参考答案2 北京市宣武区高三一模(数学理科)+参考答案3 北京市宣武区高三一模(数学理科)+参考答案4 北京市宣武区高三一模(数学理科)+参考答案5 北京市宣武区高三一模(数学理科)+参考答案6 北京市宣武区高三一模(数学理科)+参考答案7 北京市宣武区高三一模(数学理科)+参考答案8 北京市宣武区高三一模(数学理科)+参考答案9 北京市宣武区高三一模(数学理科)+参考答案10
试读已结束,还剩1页未读,您可下载完整版后进行离线阅读

文档共有11页,由于篇幅有限,只展示前10页。

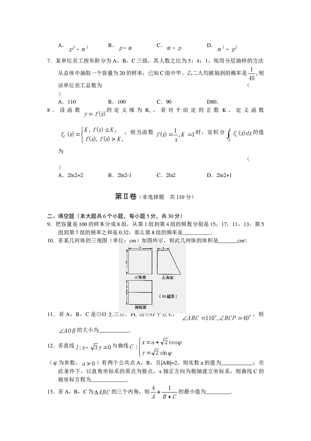
北京市宣武区2009—2010学年度高三第二学期第一次质量检测数学试题(理)2010.4本试卷分第I卷(选择题)和第II卷(非选择题)两部分,全卷满分150分,考试时间为120分钟.第Ⅰ卷(选择题共40分)一、选择题(本大题共8个小题,每小题5分,共40分;在每个小题给出的四个选项中,有且只有一个是符合题目要求的)1.设集合3.022},032|{mxxxP,则下列关系中正确的是()A.PmB.PmC.Pm}{D.}{m2.设平面向量|3|,//),,2(),2,1(bay则若baba等于()A.5B.6C.17D.263.若复数z满足,21iiz则z对应的点位于()A.第一象限B.第二象限C.第三象限D.第四象限4.设函数,)21()(23xxxf则其零点所在的区间为()A.(0,1)B.(1,2)C.(2,3)D.(3,4)5.若}{na为等差数列,nS是...

北京市宣武区高三一模(数学理科)+参考答案是由用户上传到202资源网,本次作品主题是Word文档,素材大小为651.5 KB,素材总共有11页,素材格式为doc。授权方式为VIP用户下载,成为202资源网VIP用户马上下载此素材。PPT文件完整,下载后可编辑,更多试题试卷主题素材点击进入。

如需印刷成实物请先认真校稿,避免造成不必要的经济损失。

模板单价:4.99 会员免费
开通会员可免费下载任意模板
  • 页数:11页
  • 大小:651.5 KB
  • 编号:17726
  • 类型:VIP模板
  • 格式:doc
  • 提示:数字产品不支持退货