北京市东城区高三综合练习(二)数学文科+参考答案word版

北京市东城区高三综合练习(二)数学文科+参考答案word版1 北京市东城区高三综合练习(二)数学文科+参考答案word版2 北京市东城区高三综合练习(二)数学文科+参考答案word版3 北京市东城区高三综合练习(二)数学文科+参考答案word版4 北京市东城区高三综合练习(二)数学文科+参考答案word版5 北京市东城区高三综合练习(二)数学文科+参考答案word版6 北京市东城区高三综合练习(二)数学文科+参考答案word版7 北京市东城区高三综合练习(二)数学文科+参考答案word版8 北京市东城区高三综合练习(二)数学文科+参考答案word版9 北京市东城区高三综合练习(二)数学文科+参考答案word版10
已阅读完毕,您还可以下载文档进行保存

文档共有10页,由于篇幅有限,只展示前10页。

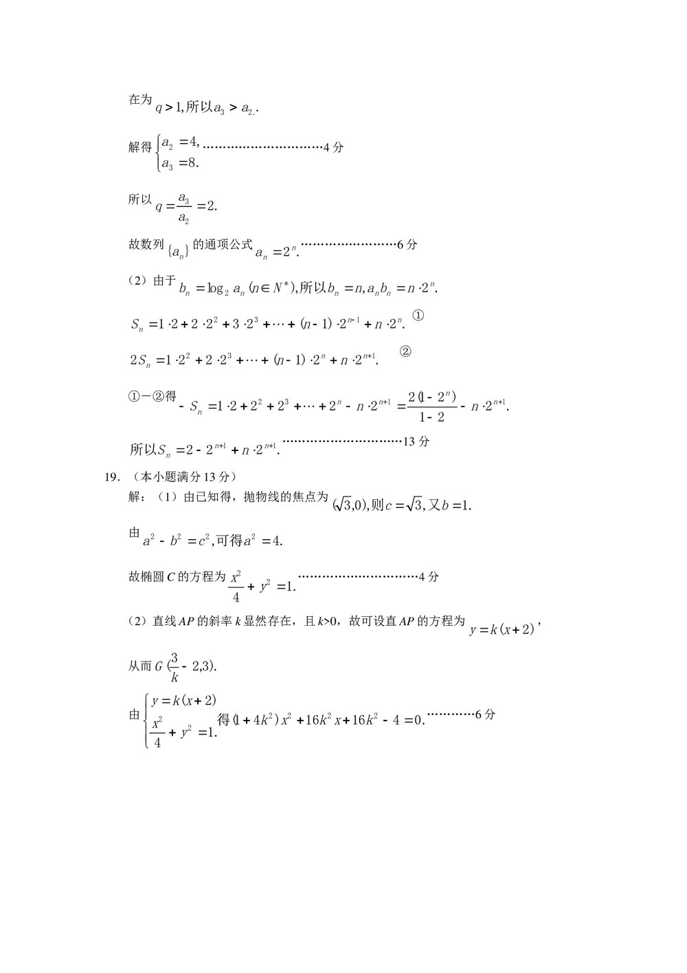
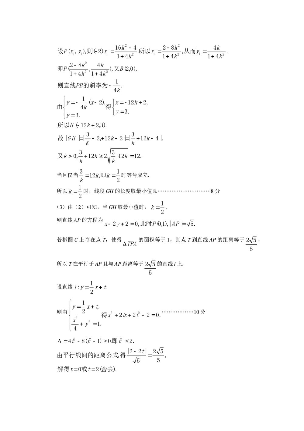
北京市东城区2009—2010学年度高三综合练习(二)数学试题2010.5本试卷分第I卷和第Ⅱ卷两部分,共150分。考试时间长120分钟。考生务必将答案答在答题卡上,在试卷上作答无效。考试结束后,将本试卷和答题卡一并交回.第Ⅰ卷(选择题共40分)一、选择题:本大题共8小题,第小题5分,共40分.在每小题给出的四个选项中,选出符合题目要求的一项.1.已知复数z=(a-1)+i,若z是纯虚数,则实数a等于()A.2B.1C.0D.-12.设集合}10|{},30|{xxNxxM,那么“Ma”是“Na”的()A.充分不必要条件B.必要不充分条件C.充要条件D.既不充分也不必要条件3.已知nm,为两条不同的直线,α,β为两个不同的平面,则下列命题中正确的是()A.m∥n,m⊥αn⊥αB.α∥β,mα,nαm∥nC.m⊥α,m⊥n...

北京市东城区高三综合练习(二)数学文科+参考答案word版是由用户上传到202资源网,本次作品主题是Word文档,素材大小为5.38 MB,素材总共有10页,素材格式为doc。授权方式为VIP用户下载,成为202资源网VIP用户马上下载此素材。PPT文件完整,下载后可编辑,更多试题试卷主题素材点击进入。

如需印刷成实物请先认真校稿,避免造成不必要的经济损失。

模板单价:4.99 会员免费
开通会员可免费下载任意模板
  • 页数:10页
  • 大小:5.38 MB
  • 编号:17669
  • 类型:VIP模板
  • 格式:doc
  • 提示:数字产品不支持退货