药物合成中的金属有机化学PPT课件下载

药物合成中的金属有机化学PPT课件下载1 药物合成中的金属有机化学PPT课件下载2 药物合成中的金属有机化学PPT课件下载3 药物合成中的金属有机化学PPT课件下载4 药物合成中的金属有机化学PPT课件下载5 药物合成中的金属有机化学PPT课件下载6 药物合成中的金属有机化学PPT课件下载7 药物合成中的金属有机化学PPT课件下载8 药物合成中的金属有机化学PPT课件下载9 药物合成中的金属有机化学PPT课件下载10
试读已结束,还剩50页未读,您可下载完整版后进行离线阅读

文档共有60页,由于篇幅有限,只展示前10页。

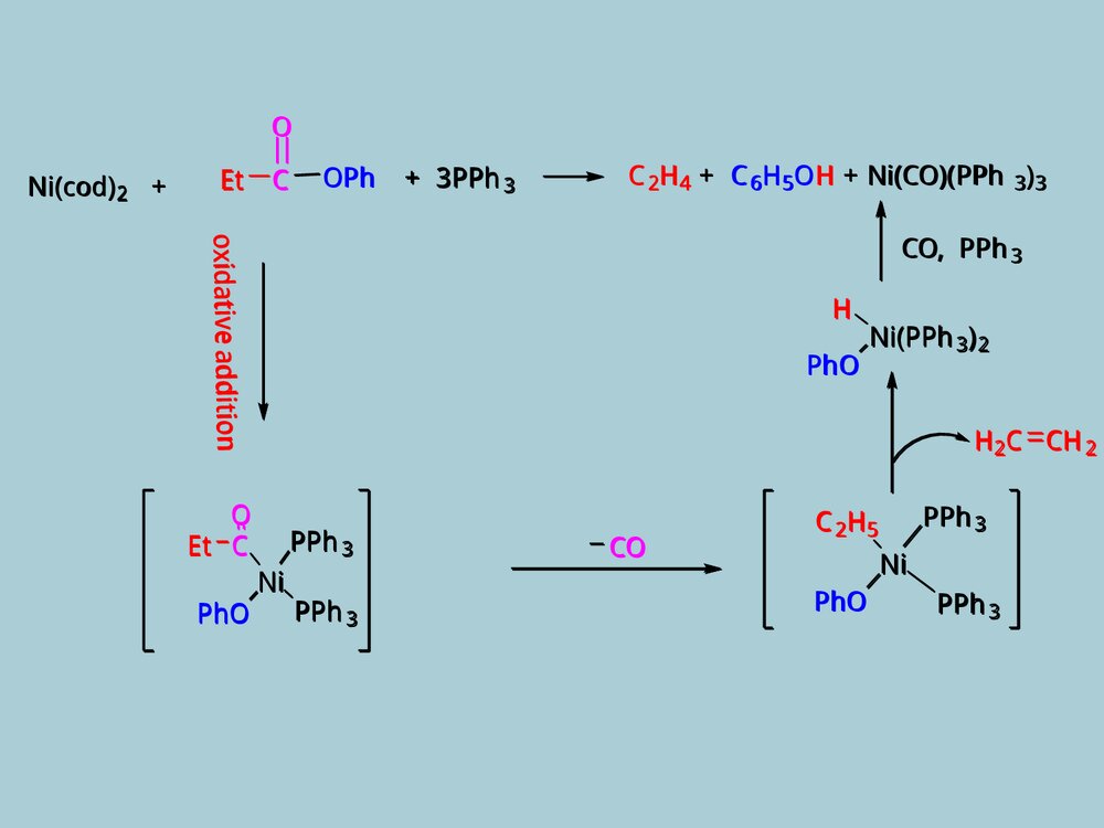
药物合成中的金属有机化学第一章、金属有机化学发展简介第二章、基元反应第三章、人名反应第四章、烯烃复分解反应第五章、Pd催化的碳氢键活化目录第一章、金属有机化学发展简介1760年,Cadet等通过As2O3与CH3COOK反应合成并分离得到人类第一个有机金属化合物[(CH3)2As]2O。1899年,P.Barbier和V.Grignard发明了格氏试剂和格氏反应,并获得了1912年Nobel化学奖。格氏试剂:CH3MgX1951年,P.Pauson和S.A.Miller各自独立合成了二茂铁,这是现代有机金属化学的里程碑。二茂铁:1976年,由于H.C.Brown和G.Witting在有机硼和有机磷化学方面所做的贡献获得Nobel奖。2001~2010年十年间陆续有三次Nobel化学奖授予金属有机化学领域的科学家威廉.诺尔斯野依良治巴里.夏普莱斯2001年不对称催化合成Angew.Chem.Int.Ed....

药物合成中的金属有机化学PPT课件下载是由用户上传到202资源网,本次作品主题是PPT课件,素材大小为3.26 MB,素材总共有60页,素材格式为pptx。授权方式为VIP用户下载,成为202资源网VIP用户马上下载此素材。PPT文件完整,下载后可编辑,更多化学课件主题素材点击进入。

如需印刷成实物请先认真校稿,避免造成不必要的经济损失。

模板单价:12.00 会员免费
开通会员可免费下载任意模板
  • 页数:60页
  • 大小:3.26 MB
  • 编号:22141
  • 类型:VIP模板
  • 格式:pptx
  • 提示:数字产品不支持退货